如果
-
选股必知!年线、60日线、流通盘等条件如何筛选优质股
股票怎么玩
)十个必须选股条件1,必须选择在年线以上的股票,必须选择股价站在年线以上,年线以下的股票,会对股票上涨造成沉重的压力2.必须选择在60日线以上的股票。...
作者:股票怎么玩更新:2026-03-12TAG:股票 必须 机构 选择 代表 如果
阅读更多 -
利润表投资密码:看销售成本与毛利率,洞察公司盈利真相
实盘配资
来源 | 投资家(ID:touzijias) 作者 | 刘晓月 财务三大报表:利润表、资产负债表、现金流量表,是展示一个公司财务状况最为主要的几个报表,如何才能...
作者:股票怎么玩更新:2026-03-05TAG:企业 公司 投资 利润 销售 如果
阅读更多 -
学会老板思维成强者,没本钱也能创业当老板的方法
专业的网络股票配资平台
人到中年,如果说学习是抵御年龄危机唯一的武器,那一个人的思考才是学习的心脏。学会了这些老板的思维,你就能成为强者。1.既然选择参加竞争 就不要同情弱者。面对竞争...
作者:股票怎么玩更新:2026-02-23TAG:老板 如果 就是 他们 自己 强者
阅读更多 -
没钱怎么快速挣钱?打工、小本生意、宠物服务等方法来啦
专业的网络股票配资平台
谁都想赚钱,却又苦于没有本钱,其实每个人都有本钱的,只是他的表现形式不一样,除了钱之外,你的体力、智力、技能都可以成为赚钱的本钱。...
作者:股票怎么玩更新:2026-02-17TAG:宠物 赚钱 工作 行业 资源 如果
阅读更多 -
固定资产、无形资产和土地使用权比较:关注使用效率及案例分析
专业的网络股票配资平台
如果我是4S店的财务,我有一个分析,我会每天给我们的销售经理一个报告:截止今天,如果这个车库龄是80天还没有卖掉,就意味着如果没有在十天之内卖掉,我却要把钱全付给他...
作者:股票怎么玩更新:2025-10-15TAG:经营 分析 我们 如果 费用 财务
阅读更多 -
AI炒股渐热,其逻辑理性能否在股市奏效?潜在影响几何?
股票怎么玩
随着AI技术的普及,越来越多的股民开始尝试用DeepSeek等AI工具来辅助炒股,甚至直接根据AI的建议进行投资决策。然而,股市是由人的情绪和决策主导的复杂市场...
作者:股票怎么玩更新:2025-06-22TAG:AI 股市 炒股 赚钱 如果 理性
阅读更多 -
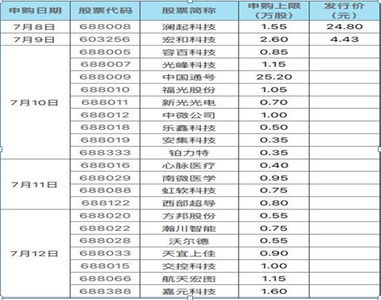
超级打新日来临!7月10日科创板9只新股申购,中一签能赚多少?
实盘配资
如自行操作,注意仓位控制和风险自负。7月10日,科创板迎来9只新股,更有顶格申购100%中签新股,总共募集资金188.32亿元。...
作者:股票怎么玩更新:2025-06-21TAG:申购 新股 一签 中签 市值 如果
阅读更多 -
可转债打新中签后如何买入和卖出?缴款日及操作要点需留意
实盘配资
在做可转债打新时,如果中了签,还是可以让人小高兴一下的,因为一旦中一签,大概率可赚一笔,少则几十,多则几百。...
作者:股票怎么玩更新:2025-06-18TAG:可转债 卖出 中签 买入 上市 如果
阅读更多


